本期導讀
TMS在兒童和青少年精神疾病中的應用
TMS在兒童腦癱中的應用
TMS在孤獨癥中的應用
TMS在孤獨癥共病難治性抑郁中的應用

本綜述系統地回顧了重復經顱磁刺激(repetitive transcranial magnetic stimulation,rTMS)對兒童和青少年精神疾病影響的研究(78項研究,共計1389名被試,年齡3-25歲,疾病覆蓋:抑郁障礙、孤獨癥譜系障礙、精神分裂癥、強迫癥、抽動穢語綜合征、注意力缺陷多動障礙、邊緣性人格障礙、厭食癥、暴飲暴食、緊張癥和網絡游戲成癮),以
(1) 評估rTMS對疾病特異性癥狀和損傷的影響,
(2) 確定rTMS對情緒和神經認知結果的影響,
(3) 概述正在進行的試驗和未發表的數據中研究的人群和方法。


02 TMS在兒童腦癱中的應用:《小兒腦癱患者在非侵入性腦刺激和納米醫學的新治療策略》

重復經顱磁刺激(rTMS)作為一種新的潛在治療腦癱(Cerebral Palsy,CP)的工具,具有減輕痙攣和改善患者步態模式的能力。
1.一項針對患有痙攣性腦癱的兒童的研究,刺激方案為:高頻rTMS(5Hz或10Hz),每次治療15分鐘,共1500個脈沖,一個療程20天。據觀察,肌肉痙攣明顯減輕,手部功能明顯增強。較低頻率(5Hz)對 2-6歲年齡組的偏癱CP患者更有效,而較高頻率(10Hz)則對較大年齡組的偏癱和四肢癱瘓患者有恢復效果。
2.一名輕度共濟失調的CP患兒,在對右側背外側前額葉皮層進行為期8個月、每周5天、頻率0.5Hz(單次治療包括5組脈沖,每組121個脈沖)的rTMS治療后,運動和認知功能以及功能網絡連接都逐步得到了改善。
3.對偏癱CP患者的健側初級運動皮層進行為期3周、每周4天的1Hz rTMS——結果表明低頻rTMS可誘導白質結構連通性發生變化,并改善患者的運動功能。在一段時間內增加恒定頻率的治療次數也能顯著促進運動功能的恢復。

不同模式的無創腦刺激(NIBS)技術
03 TMS在孤獨癥中的應用:《經顱磁刺激治療孤獨癥譜系障礙的系統綜述》 IF=4.0

該綜述納入了2018年以后發表的17篇文章,包括7篇隨機對照試驗研究和10篇開放標簽研究。總體而言,TMS治療孤獨癥譜系障礙(Autism Spectrum Disorder,ASD)的研究在偏倚風險、刺激部位、刺激參數等方面表現出明顯的多樣性。但研究結果普遍表明,TMS對ASD的刻板行為、重復行為、言語和社交方面有積極影響,干預后所有量表評分得到整體改善。為加強證據基礎,未來的研究應優先考慮隨機、雙盲、假對照試驗。此外,為了更全面地評估TMS療效,在進行常規行為評估的同時,還必須納入生理指標的變化。

TMS治療ASD的方案參數

TMS治療ASD的刺激靶點及其定位方法

TMS治療ASD后神經影像學標記物的變化
03 TMS在孤獨癥中的應用:《評估重復經顱磁刺激對孤獨癥譜系障礙有效連通性的影響:TMS-EEG分析的初步探索》 IF=4.0

該研究使用經顱磁刺激聯合腦電圖探究了rTMS誘導的孤獨癥譜系障礙ASD患兒有效連通性的改變——從12名診斷為ASD的兒童中獲取rTMS治療前后的TMS-EEG數據。干預方案為:對左頂葉進行高頻15Hz rTMS,刺激時間5s,間隔時間10min,共375個脈沖,每周5天,持續3周,共15次治療。動態腦電圖網絡分析顯示,rTMS干預后,ASD患者大腦內的遠程反饋連接(如額葉至頂葉區、額葉至枕葉區、額葉至后顳葉區)得到加強,而近距離連接(如雙側枕葉區、枕葉至后顳葉區)減弱。治療后的臨床量表評分變化與腦網絡連通性的改變相一致,基本的ASD癥狀也得到相應的改善。

研究設計:(a) rTMS干預。(b)有效連通性分析。
04 TMS在孤獨癥共病難治性抑郁中的應用:《加速θ爆發式經顱磁刺激治療孤獨癥譜系障礙患者的難治性抑郁》 IF=4.3

背景
治療ASD的難治性抑郁障礙非常具有挑戰性,通常需要多種藥物治療或存在較高副作用的治療方法。雖然rTMS對難治性抑郁障礙的療效已經得到了很好的證實,但對ASD進行大規模的干預仍面臨挑戰。這項開放標簽試驗證明了加速θ爆發式刺激(accelerated Theta Burst Stimulation,aTBS)治療ASD患者難治性抑郁的有效性和安全性。
方法
干預:
刺激方案:
①雙側刺激組:左背外側前額葉iTBS+右背外側前額葉cTBS,各600脈沖,90%RMT(兩個半球分別測定)。每天3次。
②單側刺激組:左背外側前額葉iTBS,600脈沖,90%RMT。每天3次。
每次TBS治療間隔50min。
考慮到有感覺超敏反應的被試,在前兩天的治療中,從50%RMT開始,根據每個被試的耐受性,每次增加10-20%,逐步增加至目標刺激強度(90%RMT)。
評估:
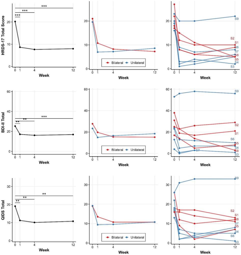
主要結局:HDRS-17量表。
次要結局:BDI-II貝克抑郁自評量表;Quick Inventory of Depressive Symptomatology (QIDS) 抑郁癥狀快速自評量表;physician-administered Columbia-Suicide Severity Rating Scale (C-SSRS) 哥倫比亞自殺嚴重程度評定量表;Suicide Behavior Questionnaire (SBQ)自殺行為量表;Generalized Anxiety Disorder-7 item (GAD-7) 廣泛性焦慮量表7項;Pittsburgh Sleep Quality Inventory (PSQI)匹茲堡睡眠質量量表,Social Responsiveness Scale (SRS) 社會反應量表,NIH Cognitive Toolbox NIH認知工具箱。

結果
主要結局表明,無論刺激部位如何,aTBS治療均與抑郁癥狀的顯著、實質性和持續改善相關。其他次要結局,包括自我報告抑郁量表、流體認知和睡眠質量,也表現出顯著改善。

抑郁量表評分變化軌跡
結論
aTBS治療在ASD并發MDD患者中有效且耐受性良好。但仍需一個更大的、隨機假對照試驗來進一步評估aTBS在這一人群中的療效。
相關推薦: